最初の実験で、直流と交流がコイルやコンデンサーを通る様子を電灯の明るさで比較する。交流は、家庭交流電源をトランスで9Vに下げている。2番目の実験では、交流の周波数の影響を明らかにするため、低周波発信器の出力をアンプで増幅して交流電源として用いた。
1)電球の明るさの比較 ー ACは60Hzとして
RL回路![]() Fig.1 電球の明るさに対するコイル/インダクターの影響を観察 (左) AC60Hz-9V、(右)DC 9V |
RC回路![]() Fig.2 電球の明るさに対するコンデンサーの影響を観察 (左) AC60Hz-9V、(右)DC 9V |
||||||||||
| Coil/Inductor | AC 60Hz |
DC | Capacitor | AC 60Hz | DC | ||||||
| Inductance mH |
Resistance Ω |
with Iron core |
with Iron core |
||||||||
| Inductor | 1μH | ー | ー | 2.2μF | |||||||
| 10μH | ー | ー | 10μF | ||||||||
| 100μH | ー | ー | 100μF | ||||||||
| Coil | 200Turn | 0.67 | 0.6 | 1000μF | |||||||
400Turn |
3.2 | 2.2 | 10000μF | ||||||||
800Turn |
13.5 | 7.7 | |||||||||
| 1600Turn | 5.2 | 35.4 | |||||||||
| 3200Turn | 207 | 151 | |||||||||
:明るい
:明るさ減少
:暗い(点灯せず)
- コンデンサーを含むRC回路では、DCは全く点灯しないのに対して、ACではコンデンサーの容量が低い場合に点灯する。
- コイル/インダクターを含むRL回路では、鉄芯がない場合はACとDCの差は無いが、鉄芯を入れたコイルではDCで変化がないのに対してACでは明るさが減少した。
2)電球のAC電圧の定量測定と理論値との比較 ー ACは10〜104Hz
交流電源として低周波発信器の出力をアンプで増幅したものを用い、電球の明るさを定量的にとらえるために電球両端の電圧を測定した。
Fig.3 周波数発信器の出力をアンプで7.0Vに調節し、コイルまたは コンデンサーを電球と直列につないだ。
| RL回路 | RC回路 | |||
![]() Fig.4 RL回路図 |
![]() Fig.5 RC回路図 |
|||
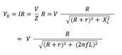
![]() Fig.6 RL回路での理論式 (電球の抵抗はR=20Ω(一定)として計算) |
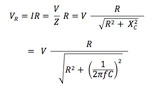
![]() Fig.7 RC回路での理論式 (電球の抵抗はR=20Ω(一定)として計算) |
|||
![]() Fig.8 RL回路での実験値 |
![]() Fig.9 RL回路での理論値 |
![]() Fig.10 RC回路での実験値 |
![]() Fig.11 RC回路での理論値 |
|
3)結果
- 1.コイルを含むRL回路では、ACの周波数が高いほど、コイルの巻数が多いほど、コイルに鉄芯が入っている方が電圧が低い。コイルのリアクタンスの増加の結果である。
- 2. 鉄芯のないコイルを含むRL回路で実験値と理論値は傾向は良い一致を示しているが、巻数の多いコイルでは実験値は理論値の50%程度の低い値を示した。
- 3. コンデンサーを含むRC回路では、ACの周波数が低いほど、コンデンサーの容量が小さいほど電圧が低下する。コンデンサーのリアクタンスの増加の結果である。
-
4. コンデンサーを含むRC回路で実験値と理論値は、傾向は良く一致しているが、低周波領域では実験値の方が低い値で、103Hz以上の高周波数では異常に高い値を示した。この異常な挙動の原因は不明である。













